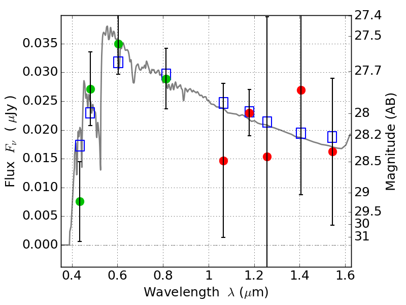
PLCKG287+32 ACS+IR detection object #1274

Color images and BPZ results
Catalog: 1274.cat
Black segments are analyzed here.   Roll mouse over color images to view segments.
Best viewed in a wide browser window (1200 pixels or more).   Download SED & P(z) plots to view larger versions.
In P(z) plots: Yellow lines mark the cluster redshift z = 0.390,  

Object #1274   x,y = (3178, 4118)   RA, Dec = (11:50:48.312, -28:03:28.44) = (177.70130, -28.05790)   BPZ = 3.326 [0.198--3.678]   type = 11.00 (SB11_A_0_l)   stellarity = 0.56   chisq2 = 0.55   ODDS = 0.46   z_cluster = 0.390