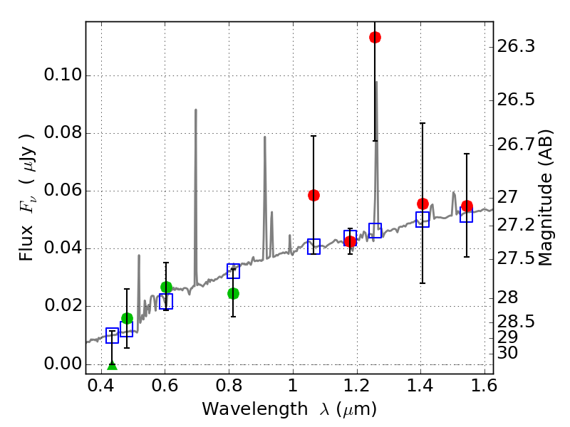
PLCKG287+32 IR detection object #601

Color images and BPZ results
Catalog: 601.cat
Black segments are analyzed here.   Roll mouse over color images to view segments.
Best viewed in a wide browser window (1200 pixels or more).   Download SED & P(z) plots to view larger versions.
In P(z) plots: Yellow lines mark the cluster redshift z = 0.390,  

Object #601   x,y = (3021, 3252)   RA, Dec = (11:50:49.032, -28:04:11.28) = (177.70430, -28.06980)   BPZ = 0.392 [0.223--3.979]   type = 7.90 (SB1_B10 - Scd_B10)   stellarity = 0.00   chisq2 = 1.01   ODDS = 0.06   z_cluster = 0.390