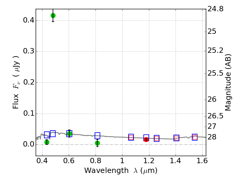
PLCKG287+32 IR detection object #386

Color images and BPZ results
Catalog: 386.cat
Black segments are analyzed here.   Roll mouse over color images to view segments.
Best viewed in a wide browser window (1200 pixels or more).   Download SED & P(z) plots to view larger versions.
In P(z) plots: Yellow lines mark the cluster redshift z = 0.390,  

Object #386   x,y = (4156, 3400)   RA, Dec = (11:50:43.872, -28:04:02.64) = (177.68280, -28.06740)   BPZ = 2.768 [1.832--2.978]   type = 11.00 (SB11_A_0_l)   stellarity = 0.31   chisq2 = 172.24   ODDS = 0.42   z_cluster = 0.390