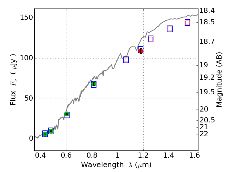
PLCKG287+32 IR detection object #3312

Color images and BPZ results
Catalog: 3312.cat
Black segments are analyzed here.   Roll mouse over color images to view segments.
Best viewed in a wide browser window (1200 pixels or more).   Download SED & P(z) plots to view larger versions.
In P(z) plots: Yellow lines mark the cluster redshift z = 0.390,  

Object #3312   x,y = (1965, 1154)   RA, Dec = (11:50:53.808, -28:06:17.28) = (177.72420, -28.10480)   BPZ = 0.353 [0.273--0.382]   type = 3.70 (Ell4_A_0 - Ell5_A_0)   stellarity = 0.03   chisq2 = 0.03   ODDS = 0.93   z_cluster = 0.390