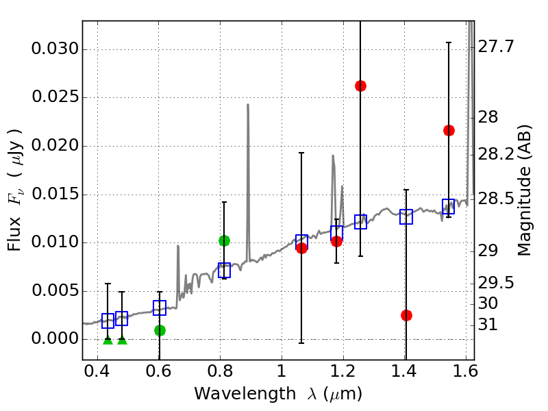
PLCKG287+32 IR detection object #3188

Color images and BPZ results
Catalog: 3188.cat
Black segments are analyzed here.   Roll mouse over color images to view segments.
Best viewed in a wide browser window (1200 pixels or more).   Download SED & P(z) plots to view larger versions.
In P(z) plots: Yellow lines mark the cluster redshift z = 0.390,  

Object #3188   x,y = (2721, 1436)   RA, Dec = (11:50:50.376, -28:06:00.36) = (177.70990, -28.10010)   BPZ = 0.784 [0.348--5.663]   type = 7.60 (SB1_B10 - Scd_B10)   stellarity = 0.08   chisq2 = 0.55   ODDS = 0.07   z_cluster = 0.390