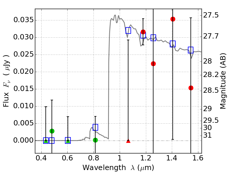
PLCKG287+32 IR detection object #2891

Color images and BPZ results
Catalog: 2891.cat
Black segments are analyzed here.   Roll mouse over color images to view segments.
Best viewed in a wide browser window (1200 pixels or more).   Download SED & P(z) plots to view larger versions.
In P(z) plots: Yellow lines mark the cluster redshift z = 0.390,  

Object #2891   x,y = (2178, 1727)   RA, Dec = (11:50:52.848, -28:05:42.72) = (177.72020, -28.09520)   BPZ = 6.529 [1.060--8.173]   type = 11.00 (SB11_A_0_l)   stellarity = 0.02   chisq2 = 0.33   ODDS = 0.32   z_cluster = 0.390