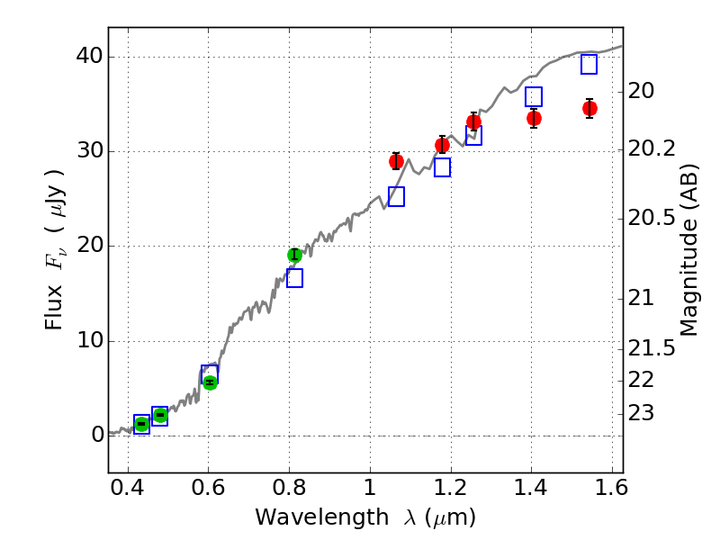
PLCKG287+32 IR detection object #2756

Color images and BPZ results
Catalog: 2756.cat
Black segments are analyzed here.   Roll mouse over color images to view segments.
Best viewed in a wide browser window (1200 pixels or more).   Download SED & P(z) plots to view larger versions.
In P(z) plots: Yellow lines mark the cluster redshift z = 0.390,  

Object #2756   x,y = (2930, 1797)   RA, Dec = (11:50:49.440, -28:05:38.76) = (177.70600, -28.09410)   BPZ = 0.455 [0.328--0.480]   type = 4.00 (Ell4_A_0)   stellarity = 1.00   chisq2 = 1.21   ODDS = 0.89   z_cluster = 0.390