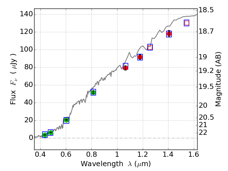
PLCKG287+32 IR detection object #2694

Color images and BPZ results
Catalog: 2694.cat
Black segments are analyzed here.   Roll mouse over color images to view segments.
Best viewed in a wide browser window (1200 pixels or more).   Download SED & P(z) plots to view larger versions.
In P(z) plots: Yellow lines mark the cluster redshift z = 0.390,  

Object #2694   x,y = (2230, 1826)   RA, Dec = (11:50:52.608, -28:05:36.96) = (177.71920, -28.09360)   BPZ = 0.454 [0.340--0.481]   type = 4.20 (Ell4_A_0 - ES0_B10)   stellarity = 0.03   chisq2 = 0.01   ODDS = 0.70   z_cluster = 0.390