PLCKG287+32 IR detection object #2642

Color images and BPZ results
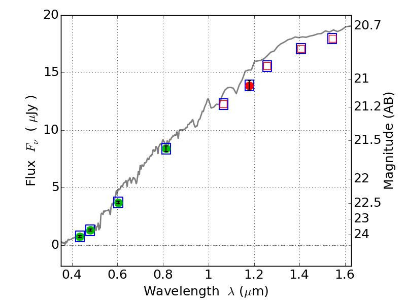
Catalog: 2642.cat
Black segments are analyzed here.   Roll mouse over color images to view segments.
Best viewed in a wide browser window (1200 pixels or more).   Download SED & P(z) plots to view larger versions.
In P(z) plots: Yellow lines mark the cluster redshift z = 0.390,  

Object #2642   x,y = (941, 1888)   RA, Dec = (11:50:58.464, -28:05:33.00) = (177.74360, -28.09250)   BPZ = 0.324 [0.246--0.370]   type = 3.00 (Ell5_A_0)   stellarity = 0.03   chisq2 = 0.00   ODDS = 0.87   z_cluster = 0.390