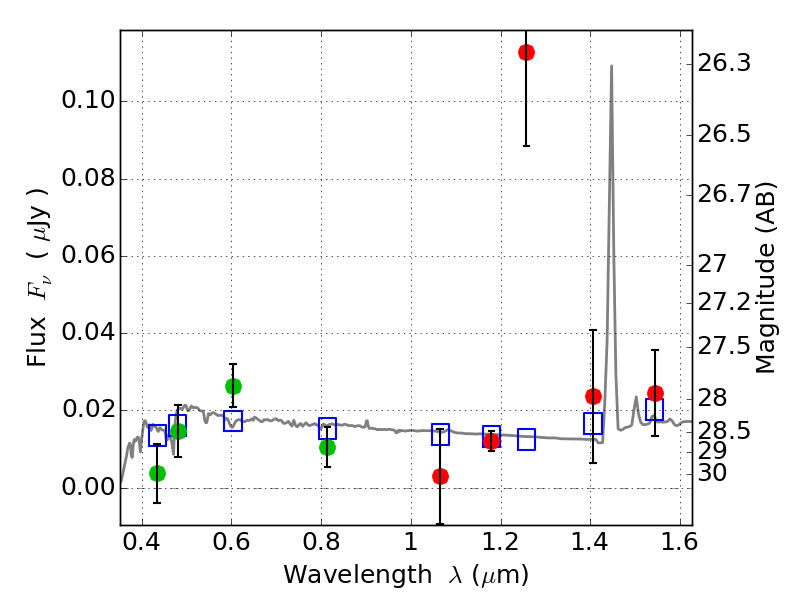
PLCKG287+32 IR detection object #2631

Color images and BPZ results
Catalog: 2631.cat
Black segments are analyzed here.   Roll mouse over color images to view segments.
Best viewed in a wide browser window (1200 pixels or more).   Download SED & P(z) plots to view larger versions.
In P(z) plots: Yellow lines mark the cluster redshift z = 0.390,  

Object #2631   x,y = (2483, 1926)   RA, Dec = (11:50:51.456, -28:05:30.84) = (177.71440, -28.09190)   BPZ = 2.878 [0.285--3.630]   type = 10.30 (SB3_B10 - SB11_A_0_l)   stellarity = 0.04   chisq2 = 3.85   ODDS = 0.20   z_cluster = 0.390