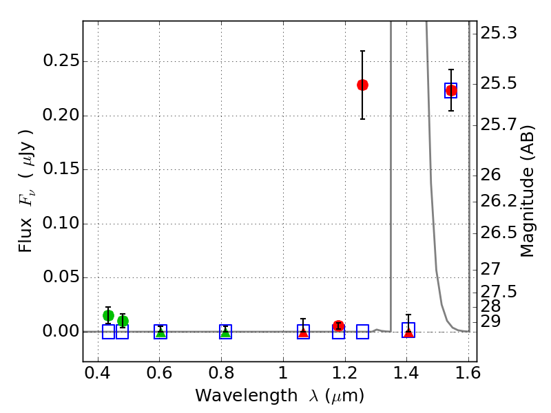
PLCKG287+32 IR detection object #2246

Color images and BPZ results
Catalog: 2246.cat
Black segments are analyzed here.   Roll mouse over color images to view segments.
Best viewed in a wide browser window (1200 pixels or more).   Download SED & P(z) plots to view larger versions.
In P(z) plots: Yellow lines mark the cluster redshift z = 0.390,  

Object #2246   x,y = (3433, 2162)   RA, Dec = (11:50:47.160, -28:05:16.80) = (177.69650, -28.08800)   BPZ = 12.274 [11.894--12.959]   type = 11.00 (SB11_A_0_l)   stellarity = 0.73   chisq2 = 7.34   ODDS = 0.86   z_cluster = 0.390