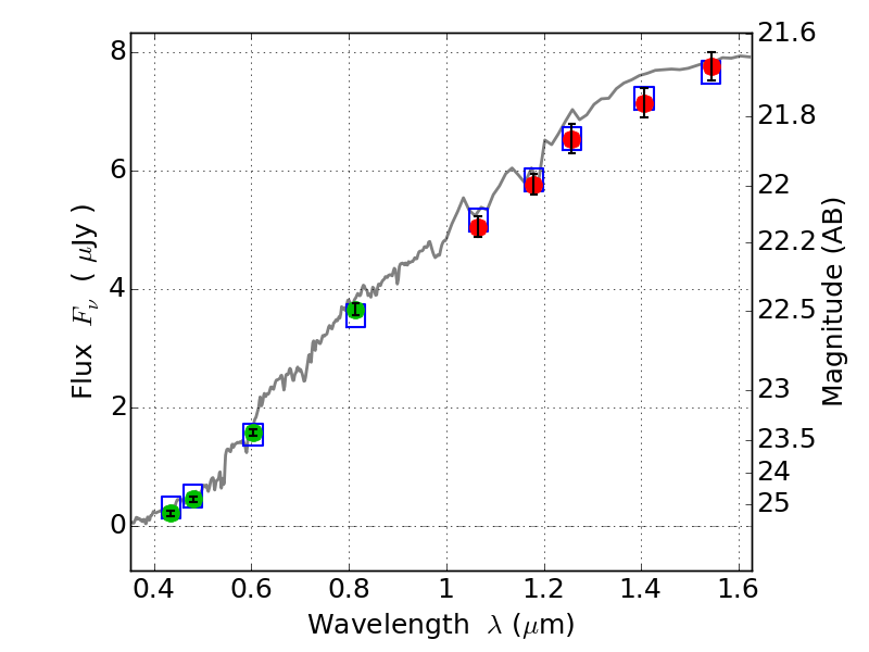
PLCKG287+32 IR detection object #1881

Color images and BPZ results
Catalog: 1881.cat
Black segments are analyzed here.   Roll mouse over color images to view segments.
Best viewed in a wide browser window (1200 pixels or more).   Download SED & P(z) plots to view larger versions.
In P(z) plots: Yellow lines mark the cluster redshift z = 0.390,  

Object #1881   x,y = (2472, 2388)   RA, Dec = (11:50:51.504, -28:05:03.12) = (177.71460, -28.08420)   BPZ = 0.368 [0.300--0.402]   type = 3.90 (Ell4_A_0 - Ell5_A_0)   stellarity = 0.66   chisq2 = 0.03   ODDS = 0.95   z_cluster = 0.390