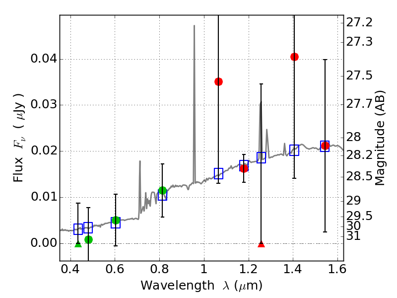
PLCKG287+32 IR detection object #1583

Color images and BPZ results
Catalog: 1583.cat
Black segments are analyzed here.   Roll mouse over color images to view segments.
Best viewed in a wide browser window (1200 pixels or more).   Download SED & P(z) plots to view larger versions.
In P(z) plots: Yellow lines mark the cluster redshift z = 0.390,  

Object #1583   x,y = (3959, 2593)   RA, Dec = (11:50:44.760, -28:04:50.88) = (177.68650, -28.08080)   BPZ = 0.915 [0.328--5.777]   type = 7.70 (SB1_B10 - Scd_B10)   stellarity = 0.00   chisq2 = 0.33   ODDS = 0.08   z_cluster = 0.390