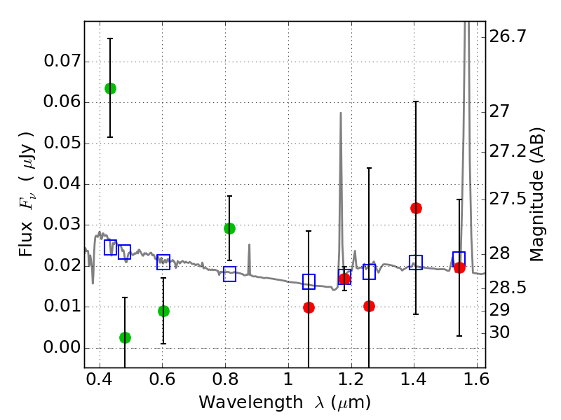
PLCKG287+32 IR detection object #1515

Color images and BPZ results
Catalog: 1515.cat
Black segments are analyzed here.   Roll mouse over color images to view segments.
Best viewed in a wide browser window (1200 pixels or more).   Download SED & P(z) plots to view larger versions.
In P(z) plots: Yellow lines mark the cluster redshift z = 0.390,  

Object #1515   x,y = (2911, 2632)   RA, Dec = (11:50:49.512, -28:04:48.72) = (177.70630, -28.08020)   BPZ = 2.133 [0.154--3.065]   type = 10.50 (SB11_A_0_l - SB3_B10)   stellarity = 0.00   chisq2 = 3.21   ODDS = 0.12   z_cluster = 0.390