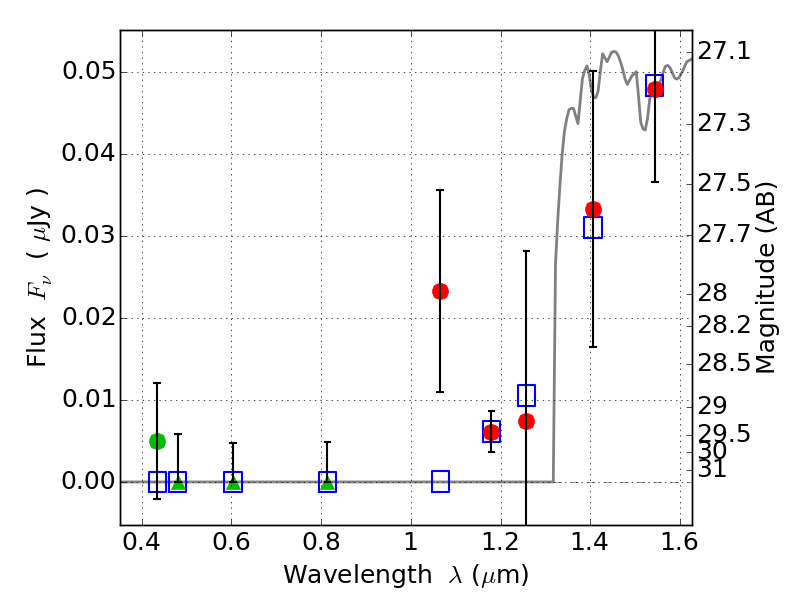
PLCKG287+32 IR detection object #1447

Color images and BPZ results
Catalog: 1447.cat
Black segments are analyzed here.   Roll mouse over color images to view segments.
Best viewed in a wide browser window (1200 pixels or more).   Download SED & P(z) plots to view larger versions.
In P(z) plots: Yellow lines mark the cluster redshift z = 0.390,  

Object #1447   x,y = (3714, 2695)   RA, Dec = (11:50:45.888, -28:04:44.76) = (177.69120, -28.07910)   BPZ = 9.851 [0.626--10.241]   type = 8.30 (SB1_B10 - SB2_B10)   stellarity = 0.17   chisq2 = 0.64   ODDS = 0.27   z_cluster = 0.390