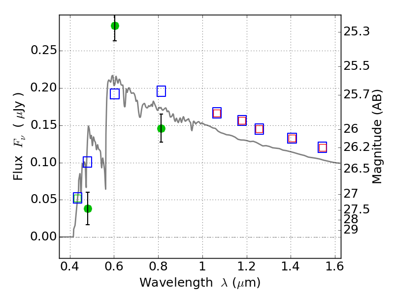
PLCKG287+32 ACS+IR detection object #7265

Color images and BPZ results
Catalog: 7265.cat
Black segments are analyzed here.   Roll mouse over color images to view segments.
Best viewed in a wide browser window (1200 pixels or more).   Download SED & P(z) plots to view larger versions.
In P(z) plots: Yellow lines mark the cluster redshift z = 0.390,  

Object #7265   x,y = (2216, 405)   RA, Dec = (11:50:52.680, -28:07:02.28) = (177.71950, -28.11730)   BPZ = 3.626 [3.414--3.821]   type = 11.00 (SB11_A_0_l)   stellarity = 0.88   chisq2 = 24.81   ODDS = 0.93   z_cluster = 0.390