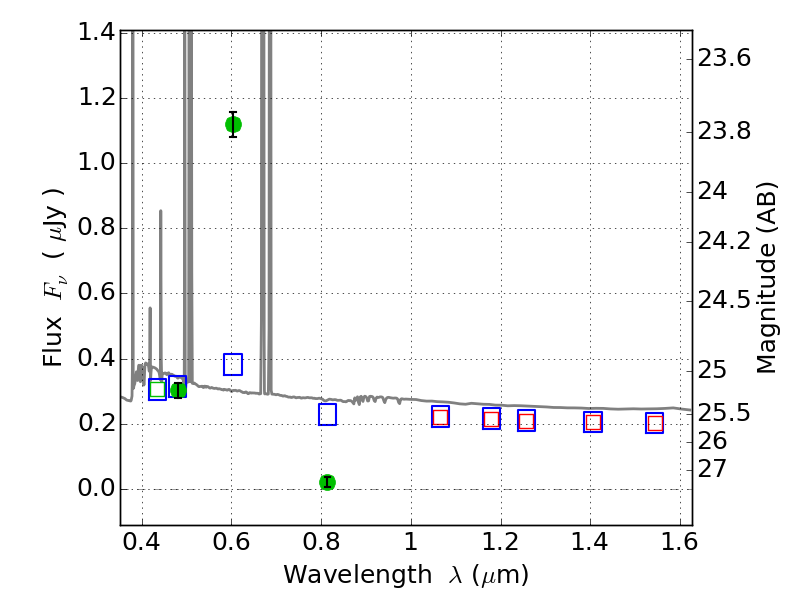
PLCKG287+32 ACS+IR detection object #671

Color images and BPZ results
Catalog: 671.cat
Black segments are analyzed here.   Roll mouse over color images to view segments.
Best viewed in a wide browser window (1200 pixels or more).   Download SED & P(z) plots to view larger versions.
In P(z) plots: Yellow lines mark the cluster redshift z = 0.390,  

Object #671   x,y = (3304, 4262)   RA, Dec = (11:50:47.736, -28:03:10.80) = (177.69890, -28.05300)   BPZ = 0.016 [0.010--0.032]   type = 11.00 (SB11_A_0_l)   stellarity = 0.95   chisq2 = 313.54   ODDS = 1.00   z_cluster = 0.390