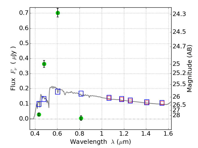
PLCKG287+32 ACS+IR detection object #5667

Color images and BPZ results
Catalog: 5667.cat
Black segments are analyzed here.   Roll mouse over color images to view segments.
Best viewed in a wide browser window (1200 pixels or more).   Download SED & P(z) plots to view larger versions.
In P(z) plots: Yellow lines mark the cluster redshift z = 0.390,  

Object #5667   x,y = (1058, 1494)   RA, Dec = (11:50:57.912, -28:05:56.76) = (177.74130, -28.09910)   BPZ = 3.323 [0.016--3.440]   type = 11.00 (SB11_A_0_l)   stellarity = 0.94   chisq2 = 470.35   ODDS = 0.81   z_cluster = 0.390