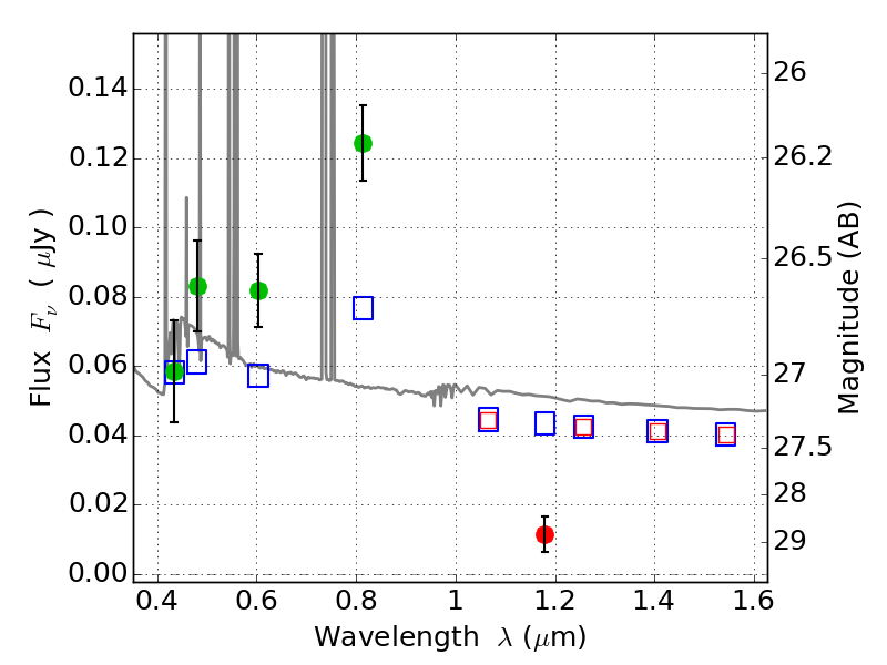
PLCKG287+32 ACS+IR detection object #5464

Color images and BPZ results
Catalog: 5464.cat
Black segments are analyzed here.   Roll mouse over color images to view segments.
Best viewed in a wide browser window (1200 pixels or more).   Download SED & P(z) plots to view larger versions.
In P(z) plots: Yellow lines mark the cluster redshift z = 0.390,  

Object #5464   x,y = (3560, 1631)   RA, Dec = (11:50:46.584, -28:05:48.48) = (177.69410, -28.09680)   BPZ = 0.117 [0.085--0.240]   type = 11.00 (SB11_A_0_l)   stellarity = 0.00   chisq2 = 20.71   ODDS = 0.73   z_cluster = 0.390