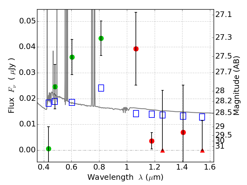
PLCKG287+32 ACS+IR detection object #5263

Color images and BPZ results
Catalog: 5263.cat
Black segments are analyzed here.   Roll mouse over color images to view segments.
Best viewed in a wide browser window (1200 pixels or more).   Download SED & P(z) plots to view larger versions.
In P(z) plots: Yellow lines mark the cluster redshift z = 0.390,  

Object #5263   x,y = (3190, 1869)   RA, Dec = (11:50:48.264, -28:05:34.44) = (177.70110, -28.09290)   BPZ = 0.138 [0.072--3.502]   type = 11.00 (SB11_A_0_l)   stellarity = 0.40   chisq2 = 5.35   ODDS = 0.30   z_cluster = 0.390