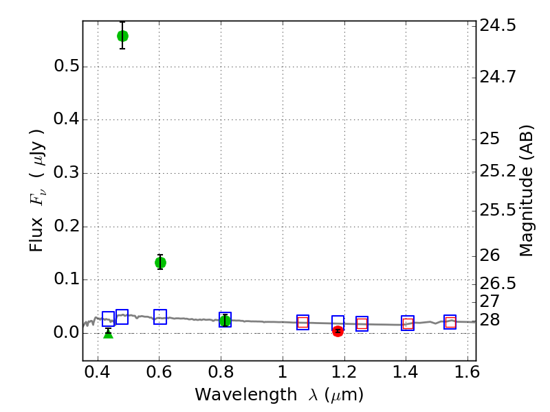
PLCKG287+32 ACS+IR detection object #5115

Color images and BPZ results
Catalog: 5115.cat
Black segments are analyzed here.   Roll mouse over color images to view segments.
Best viewed in a wide browser window (1200 pixels or more).   Download SED & P(z) plots to view larger versions.
In P(z) plots: Yellow lines mark the cluster redshift z = 0.390,  

Object #5115   x,y = (676, 1909)   RA, Dec = (11:50:59.664, -28:05:31.92) = (177.74860, -28.09220)   BPZ = 2.768 [0.049--2.988]   type = 11.00 (SB11_A_0_l)   stellarity = 0.72   chisq2 = 262.32   ODDS = 0.65   z_cluster = 0.390