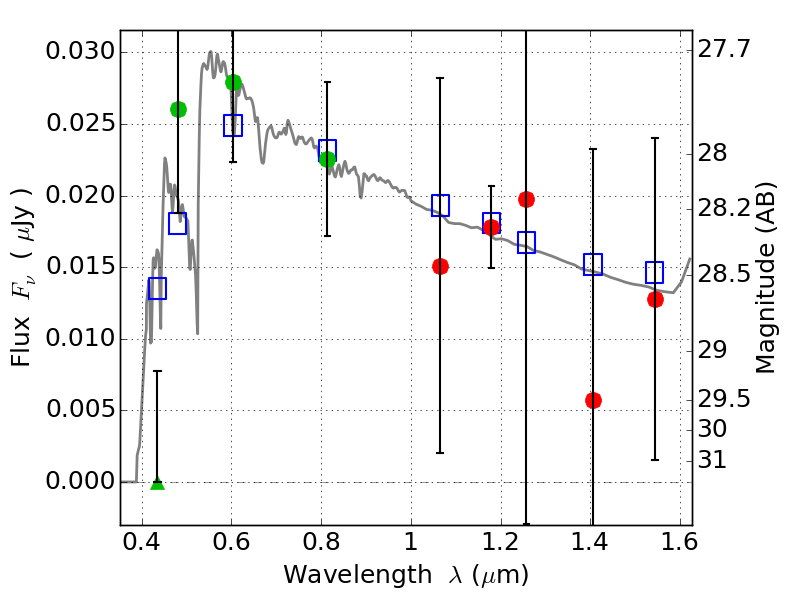
PLCKG287+32 ACS+IR detection object #5011

Color images and BPZ results
Catalog: 5011.cat
Black segments are analyzed here.   Roll mouse over color images to view segments.
Best viewed in a wide browser window (1200 pixels or more).   Download SED & P(z) plots to view larger versions.
In P(z) plots: Yellow lines mark the cluster redshift z = 0.390,  

Object #5011   x,y = (2367, 1983)   RA, Dec = (11:50:51.984, -28:05:27.60) = (177.71660, -28.09100)   BPZ = 3.324 [0.152--3.778]   type = 11.00 (SB11_A_0_l)   stellarity = 0.05   chisq2 = 0.81   ODDS = 0.32   z_cluster = 0.390