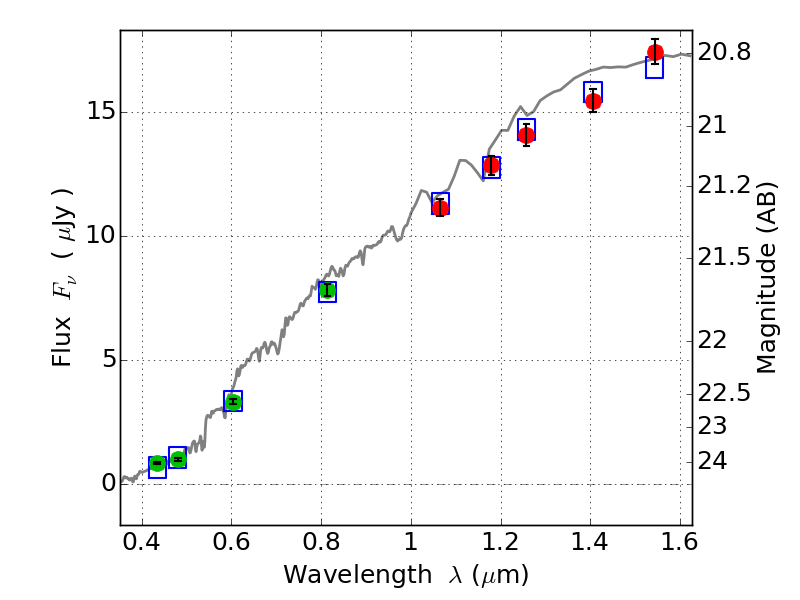
PLCKG287+32 ACS+IR detection object #4998

Color images and BPZ results
Catalog: 4998.cat
Black segments are analyzed here.   Roll mouse over color images to view segments.
Best viewed in a wide browser window (1200 pixels or more).   Download SED & P(z) plots to view larger versions.
In P(z) plots: Yellow lines mark the cluster redshift z = 0.390,  

Object #4998   x,y = (1969, 1959)   RA, Dec = (11:50:53.784, -28:05:29.04) = (177.72410, -28.09140)   BPZ = 0.365 [0.323--0.394]   type = 3.70 (Ell4_A_0 - Ell5_A_0)   stellarity = 0.03   chisq2 = 0.07   ODDS = 0.99   z_cluster = 0.390