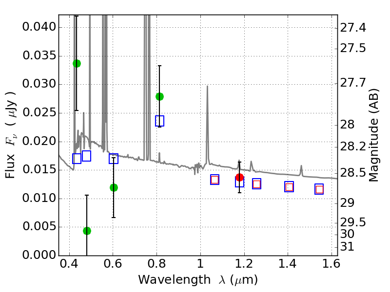
PLCKG287+32 ACS+IR detection object #4805

Color images and BPZ results
Catalog: 4805.cat
Black segments are analyzed here.   Roll mouse over color images to view segments.
Best viewed in a wide browser window (1200 pixels or more).   Download SED & P(z) plots to view larger versions.
In P(z) plots: Yellow lines mark the cluster redshift z = 0.390,  

Object #4805   x,y = (4022, 2082)   RA, Dec = (11:50:44.496, -28:05:21.48) = (177.68540, -28.08930)   BPZ = 0.142 [0.110--3.413]   type = 10.90 (SB11_A_0_l - SB3_B10)   stellarity = 0.01   chisq2 = 4.77   ODDS = 0.10   z_cluster = 0.390