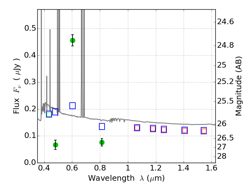
PLCKG287+32 ACS+IR detection object #4553

Color images and BPZ results
Catalog: 4553.cat
Black segments are analyzed here.   Roll mouse over color images to view segments.
Best viewed in a wide browser window (1200 pixels or more).   Download SED & P(z) plots to view larger versions.
In P(z) plots: Yellow lines mark the cluster redshift z = 0.390,  

Object #4553   x,y = (193, 2344)   RA, Dec = (11:51:01.848, -28:05:06.00) = (177.75770, -28.08500)   BPZ = 0.017 [0.010--0.042]   type = 11.00 (SB11_A_0_l)   stellarity = 1.00   chisq2 = 133.30   ODDS = 1.00   z_cluster = 0.390