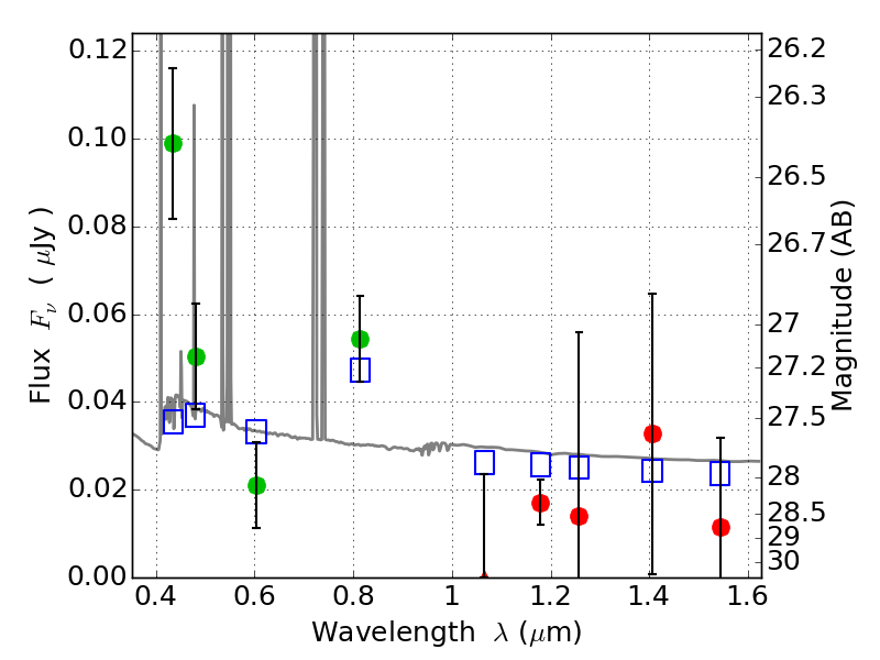
PLCKG287+32 ACS+IR detection object #4261

Color images and BPZ results
Catalog: 4261.cat
Black segments are analyzed here.   Roll mouse over color images to view segments.
Best viewed in a wide browser window (1200 pixels or more).   Download SED & P(z) plots to view larger versions.
In P(z) plots: Yellow lines mark the cluster redshift z = 0.390,  

Object #4261   x,y = (3449, 2322)   RA, Dec = (11:50:47.088, -28:05:07.08) = (177.69620, -28.08530)   BPZ = 0.101 [0.085--2.800]   type = 11.00 (SB11_A_0_l)   stellarity = 0.04   chisq2 = 3.32   ODDS = 0.16   z_cluster = 0.390