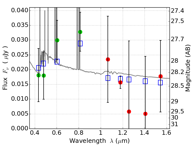
PLCKG287+32 ACS+IR detection object #3960

Color images and BPZ results
Catalog: 3960.cat
Black segments are analyzed here.   Roll mouse over color images to view segments.
Best viewed in a wide browser window (1200 pixels or more).   Download SED & P(z) plots to view larger versions.
In P(z) plots: Yellow lines mark the cluster redshift z = 0.390,  

Object #3960   x,y = (2255, 2815)   RA, Dec = (11:50:52.488, -28:04:37.56) = (177.71870, -28.07710)   BPZ = 0.205 [0.083--3.469]   type = 11.00 (SB11_A_0_l)   stellarity = 0.05   chisq2 = 0.44   ODDS = 0.15   z_cluster = 0.390