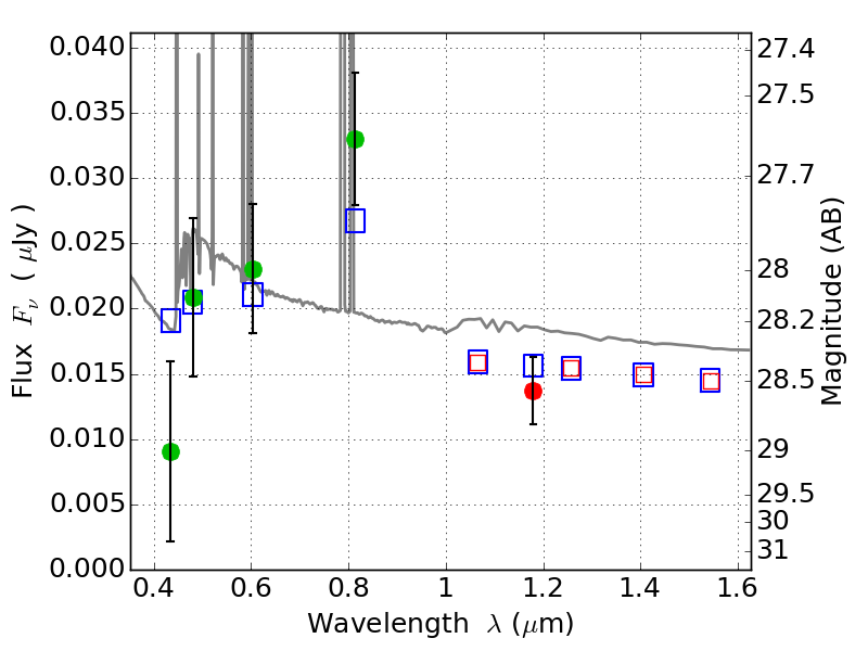
PLCKG287+32 ACS+IR detection object #3941

Color images and BPZ results
Catalog: 3941.cat
Black segments are analyzed here.   Roll mouse over color images to view segments.
Best viewed in a wide browser window (1200 pixels or more).   Download SED & P(z) plots to view larger versions.
In P(z) plots: Yellow lines mark the cluster redshift z = 0.390,  

Object #3941   x,y = (858, 2455)   RA, Dec = (11:50:58.824, -28:04:59.16) = (177.74510, -28.08310)   BPZ = 0.205 [0.092--3.538]   type = 11.00 (SB11_A_0_l)   stellarity = 0.09   chisq2 = 1.94   ODDS = 0.25   z_cluster = 0.390