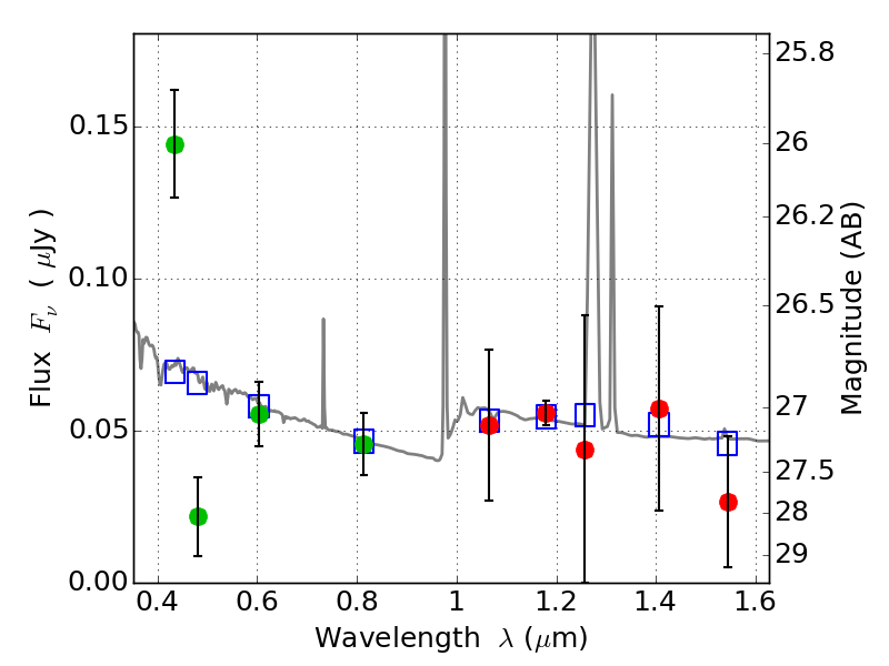
PLCKG287+32 ACS+IR detection object #3901

Color images and BPZ results
Catalog: 3901.cat
Black segments are analyzed here.   Roll mouse over color images to view segments.
Best viewed in a wide browser window (1200 pixels or more).   Download SED & P(z) plots to view larger versions.
In P(z) plots: Yellow lines mark the cluster redshift z = 0.390,  

Object #3901   x,y = (3120, 2461)   RA, Dec = (11:50:48.576, -28:04:58.80) = (177.70240, -28.08300)   BPZ = 1.623 [0.548--2.395]   type = 10.80 (SB11_A_0_l - SB3_B10)   stellarity = 0.04   chisq2 = 4.65   ODDS = 0.30   z_cluster = 0.390