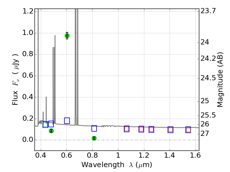
PLCKG287+32 ACS+IR detection object #3870

Color images and BPZ results
Catalog: 3870.cat
Black segments are analyzed here.   Roll mouse over color images to view segments.
Best viewed in a wide browser window (1200 pixels or more).   Download SED & P(z) plots to view larger versions.
In P(z) plots: Yellow lines mark the cluster redshift z = 0.390,  

Object #3870   x,y = (5063, 2477)   RA, Dec = (11:50:39.768, -28:04:57.72) = (177.66570, -28.08270)   BPZ = 0.016 [0.010--0.034]   type = 11.00 (SB11_A_0_l)   stellarity = 0.95   chisq2 = 596.66   ODDS = 1.00   z_cluster = 0.390