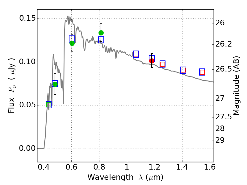
PLCKG287+32 ACS+IR detection object #3671

Color images and BPZ results
Catalog: 3671.cat
Black segments are analyzed here.   Roll mouse over color images to view segments.
Best viewed in a wide browser window (1200 pixels or more).   Download SED & P(z) plots to view larger versions.
In P(z) plots: Yellow lines mark the cluster redshift z = 0.390,  

Object #3671   x,y = (4463, 2547)   RA, Dec = (11:50:42.480, -28:04:53.76) = (177.67700, -28.08160)   BPZ = 3.480 [0.174--3.752]   type = 10.60 (SB11_A_0_l - SB3_B10)   stellarity = 0.92   chisq2 = 0.55   ODDS = 0.59   z_cluster = 0.390