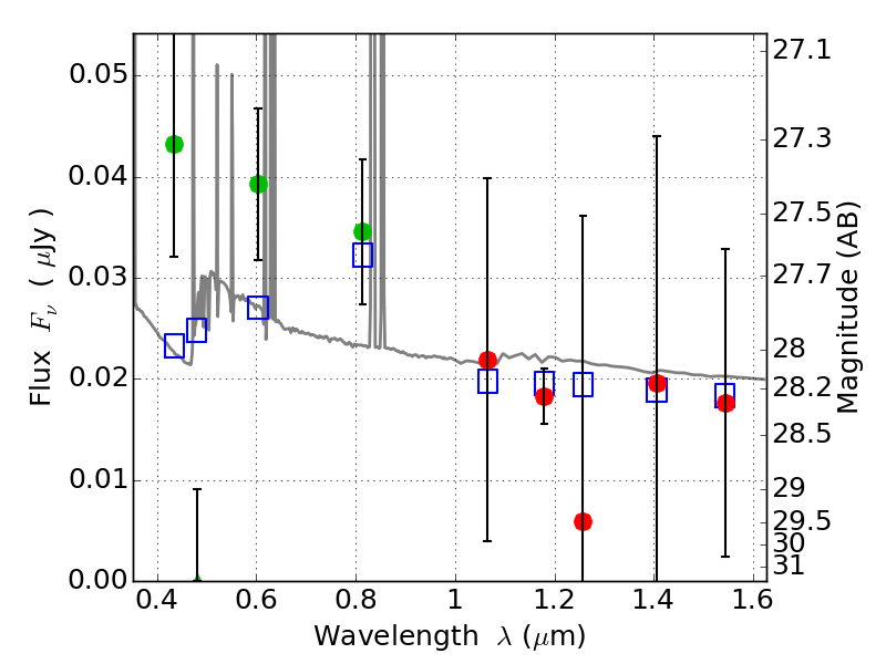
PLCKG287+32 ACS+IR detection object #3242

Color images and BPZ results
Catalog: 3242.cat
Black segments are analyzed here.   Roll mouse over color images to view segments.
Best viewed in a wide browser window (1200 pixels or more).   Download SED & P(z) plots to view larger versions.
In P(z) plots: Yellow lines mark the cluster redshift z = 0.390,  

Object #3242   x,y = (3023, 2740)   RA, Dec = (11:50:49.008, -28:04:41.88) = (177.70420, -28.07830)   BPZ = 0.273 [0.087--3.512]   type = 11.00 (SB11_A_0_l)   stellarity = 0.65   chisq2 = 2.18   ODDS = 0.14   z_cluster = 0.390