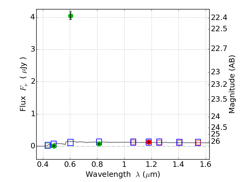
PLCKG287+32 ACS+IR detection object #3062

Color images and BPZ results
Catalog: 3062.cat
Black segments are analyzed here.   Roll mouse over color images to view segments.
Best viewed in a wide browser window (1200 pixels or more).   Download SED & P(z) plots to view larger versions.
In P(z) plots: Yellow lines mark the cluster redshift z = 0.390,  

Object #3062   x,y = (4594, 2944)   RA, Dec = (11:50:41.904, -28:04:30.00) = (177.67460, -28.07500)   BPZ = 3.653 [0.338--3.874]   type = 10.10 (SB3_B10 - SB11_A_0_l)   stellarity = 0.95   chisq2 = 1093.37   ODDS = 0.66   z_cluster = 0.390