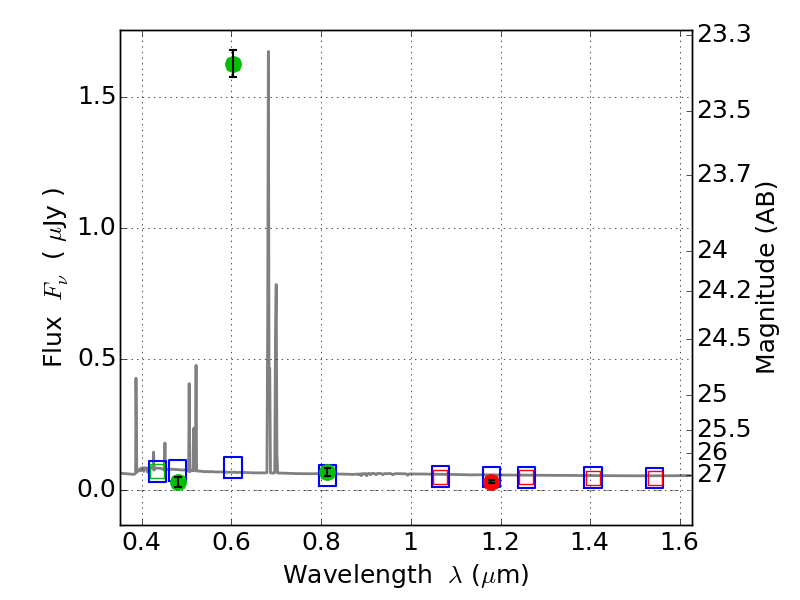
PLCKG287+32 ACS+IR detection object #3059

Color images and BPZ results
Catalog: 3059.cat
Black segments are analyzed here.   Roll mouse over color images to view segments.
Best viewed in a wide browser window (1200 pixels or more).   Download SED & P(z) plots to view larger versions.
In P(z) plots: Yellow lines mark the cluster redshift z = 0.390,  

Object #3059   x,y = (4582, 2949)   RA, Dec = (11:50:41.952, -28:04:29.64) = (177.67480, -28.07490)   BPZ = 0.041 [0.012--3.000]   type = 11.00 (SB11_A_0_l)   stellarity = 0.99   chisq2 = 917.62   ODDS = 0.70   z_cluster = 0.390