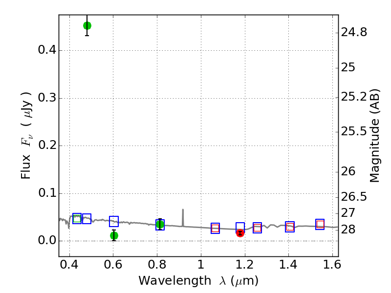
PLCKG287+32 ACS+IR detection object #3016

Color images and BPZ results
Catalog: 3016.cat
Black segments are analyzed here.   Roll mouse over color images to view segments.
Best viewed in a wide browser window (1200 pixels or more).   Download SED & P(z) plots to view larger versions.
In P(z) plots: Yellow lines mark the cluster redshift z = 0.390,  

Object #3016   x,y = (4542, 2960)   RA, Dec = (11:50:42.120, -28:04:28.92) = (177.67550, -28.07470)   BPZ = 2.279 [1.952--2.735]   type = 11.00 (SB11_A_0_l)   stellarity = 0.97   chisq2 = 348.95   ODDS = 0.48   z_cluster = 0.390