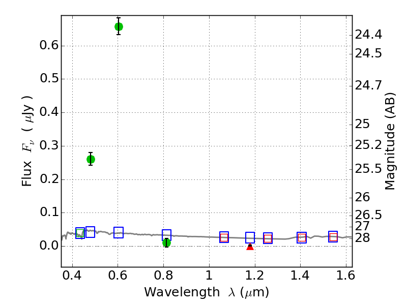
PLCKG287+32 ACS+IR detection object #2922

Color images and BPZ results
Catalog: 2922.cat
Black segments are analyzed here.   Roll mouse over color images to view segments.
Best viewed in a wide browser window (1200 pixels or more).   Download SED & P(z) plots to view larger versions.
In P(z) plots: Yellow lines mark the cluster redshift z = 0.390,  

Object #2922   x,y = (4523, 3003)   RA, Dec = (11:50:42.216, -28:04:26.40) = (177.67590, -28.07400)   BPZ = 2.640 [0.019--2.866]   type = 11.00 (SB11_A_0_l)   stellarity = 0.87   chisq2 = 775.93   ODDS = 0.61   z_cluster = 0.390