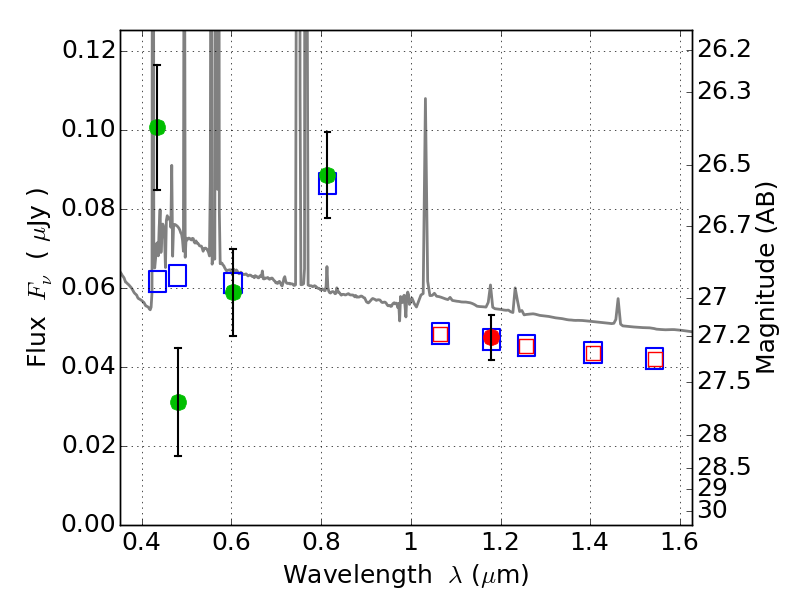
PLCKG287+32 ACS+IR detection object #2807

Color images and BPZ results
Catalog: 2807.cat
Black segments are analyzed here.   Roll mouse over color images to view segments.
Best viewed in a wide browser window (1200 pixels or more).   Download SED & P(z) plots to view larger versions.
In P(z) plots: Yellow lines mark the cluster redshift z = 0.390,  

Object #2807   x,y = (1475, 3093)   RA, Dec = (11:50:56.040, -28:04:21.00) = (177.73350, -28.07250)   BPZ = 0.137 [0.093--2.524]   type = 10.90 (SB11_A_0_l - SB3_B10)   stellarity = 0.00   chisq2 = 5.01   ODDS = 0.41   z_cluster = 0.390