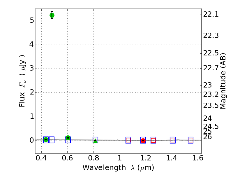
PLCKG287+32 ACS+IR detection object #2693

Color images and BPZ results
Catalog: 2693.cat
Black segments are analyzed here.   Roll mouse over color images to view segments.
Best viewed in a wide browser window (1200 pixels or more).   Download SED & P(z) plots to view larger versions.
In P(z) plots: Yellow lines mark the cluster redshift z = 0.390,  

Object #2693   x,y = (4365, 3158)   RA, Dec = (11:50:42.936, -28:04:17.04) = (177.67890, -28.07140)   BPZ = 2.516 [0.057--2.947]   type = 11.00 (SB11_A_0_l)   stellarity = 0.94   chisq2 = 586.91   ODDS = 0.30   z_cluster = 0.390