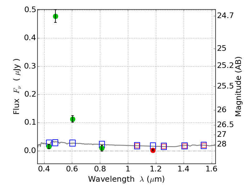
PLCKG287+32 ACS+IR detection object #2585

Color images and BPZ results
Catalog: 2585.cat
Black segments are analyzed here.   Roll mouse over color images to view segments.
Best viewed in a wide browser window (1200 pixels or more).   Download SED & P(z) plots to view larger versions.
In P(z) plots: Yellow lines mark the cluster redshift z = 0.390,  

Object #2585   x,y = (4320, 3219)   RA, Dec = (11:50:43.128, -28:04:13.44) = (177.67970, -28.07040)   BPZ = 2.640 [0.073--2.914]   type = 11.00 (SB11_A_0_l)   stellarity = 0.76   chisq2 = 238.16   ODDS = 0.55   z_cluster = 0.390