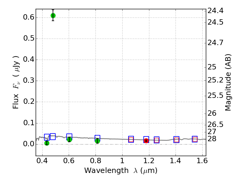
PLCKG287+32 ACS+IR detection object #2227

Color images and BPZ results
Catalog: 2227.cat
Black segments are analyzed here.   Roll mouse over color images to view segments.
Best viewed in a wide browser window (1200 pixels or more).   Download SED & P(z) plots to view larger versions.
In P(z) plots: Yellow lines mark the cluster redshift z = 0.390,  

Object #2227   x,y = (4155, 3399)   RA, Dec = (11:50:43.896, -28:04:02.64) = (177.68290, -28.06740)   BPZ = 2.640 [1.677--2.984]   type = 11.00 (SB11_A_0_l)   stellarity = 0.82   chisq2 = 261.59   ODDS = 0.38   z_cluster = 0.390