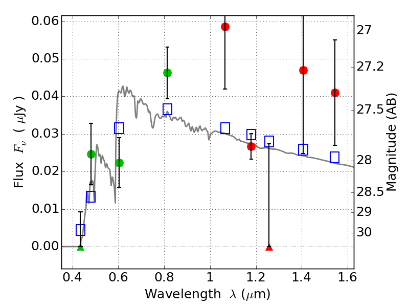
PLCKG287+32 ACS+IR detection object #2186

Color images and BPZ results
Catalog: 2186.cat
Black segments are analyzed here.   Roll mouse over color images to view segments.
Best viewed in a wide browser window (1200 pixels or more).   Download SED & P(z) plots to view larger versions.
In P(z) plots: Yellow lines mark the cluster redshift z = 0.390,  

Object #2186   x,y = (3102, 3420)   RA, Dec = (11:50:48.648, -28:04:01.20) = (177.70270, -28.06700)   BPZ = 3.841 [0.163--4.279]   type = 10.80 (SB11_A_0_l - SB3_B10)   stellarity = 0.10   chisq2 = 2.00   ODDS = 0.25   z_cluster = 0.390