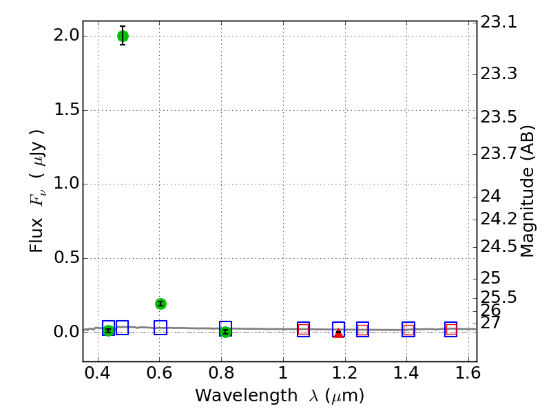
PLCKG287+32 ACS+IR detection object #2081

Color images and BPZ results
Catalog: 2081.cat
Black segments are analyzed here.   Roll mouse over color images to view segments.
Best viewed in a wide browser window (1200 pixels or more).   Download SED & P(z) plots to view larger versions.
In P(z) plots: Yellow lines mark the cluster redshift z = 0.390,  

Object #2081   x,y = (4079, 3471)   RA, Dec = (11:50:44.232, -28:03:58.32) = (177.68430, -28.06620)   BPZ = 2.768 [0.034--2.995]   type = 11.00 (SB11_A_0_l)   stellarity = 1.00   chisq2 = 560.05   ODDS = 0.57   z_cluster = 0.390