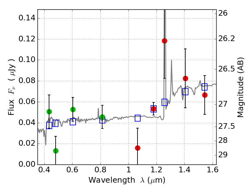
PLCKG287+32 IR detection object #961

Color images and BPZ results
Catalog: 961.cat
Black segments are analyzed here.   Roll mouse over color images to view segments.
Best viewed in a wide browser window (1200 pixels or more).   Download SED & P(z) plots to view larger versions.
In P(z) plots: Yellow lines mark the cluster redshift z = 0.390,  

Object #961   x,y = (1656, 3169)   RA, Dec = (11:50:55.224, -28:04:25.32) = (177.73010, -28.07370)   BPZ = 2.385 [0.175--3.365]   type = 9.60 (SB3_B10 - SB2_B10)   stellarity = 0.00   chisq2 = 1.65   ODDS = 0.16   z_cluster = 0.390