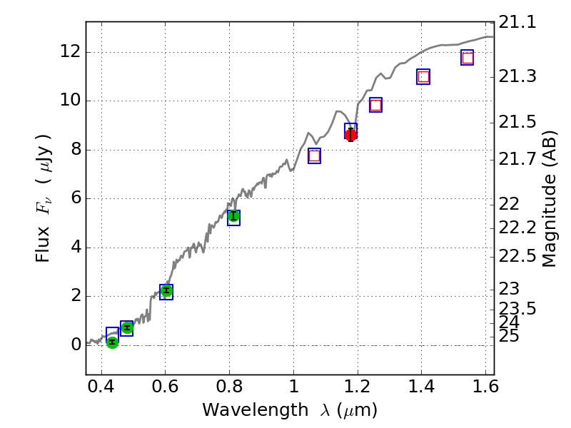
PLCKG287+32 IR detection object #746

Color images and BPZ results
Catalog: 746.cat
Black segments are analyzed here.   Roll mouse over color images to view segments.
Best viewed in a wide browser window (1200 pixels or more).   Download SED & P(z) plots to view larger versions.
In P(z) plots: Yellow lines mark the cluster redshift z = 0.390,  

Object #746   x,y = (3680, 3319)   RA, Dec = (11:50:46.032, -28:04:16.32) = (177.69180, -28.07120)   BPZ = 0.394 [0.291--0.442]   type = 3.60 (Ell4_A_0 - Ell5_A_0)   stellarity = 0.03   chisq2 = 0.10   ODDS = 0.79   z_cluster = 0.390