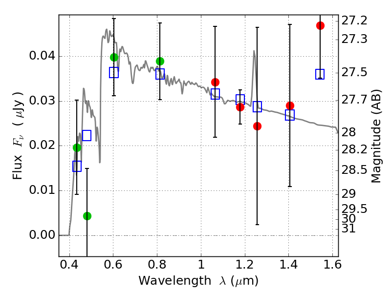
PLCKG287+32 IR detection object #684

Color images and BPZ results
Catalog: 684.cat
Black segments are analyzed here.   Roll mouse over color images to view segments.
Best viewed in a wide browser window (1200 pixels or more).   Download SED & P(z) plots to view larger versions.
In P(z) plots: Yellow lines mark the cluster redshift z = 0.390,  

Object #684   x,y = (1914, 3367)   RA, Dec = (11:50:54.048, -28:04:13.44) = (177.72520, -28.07040)   BPZ = 3.453 [0.178--3.953]   type = 10.50 (SB11_A_0_l - SB3_B10)   stellarity = 0.08   chisq2 = 0.69   ODDS = 0.25   z_cluster = 0.390