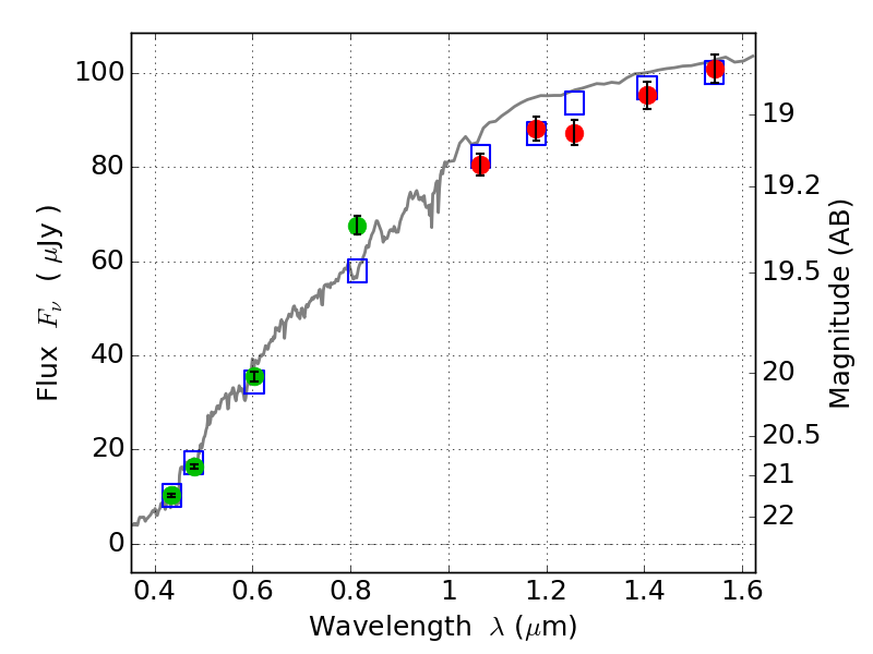
PLCKG287+32 IR detection object #627

Color images and BPZ results
Catalog: 627.cat
Black segments are analyzed here.   Roll mouse over color images to view segments.
Best viewed in a wide browser window (1200 pixels or more).   Download SED & P(z) plots to view larger versions.
In P(z) plots: Yellow lines mark the cluster redshift z = 0.390,  

Object #627   x,y = (2103, 3361)   RA, Dec = (11:50:53.184, -28:04:13.80) = (177.72160, -28.07050)   BPZ = 0.132 [0.089--0.151]   type = 4.00 (Ell4_A_0)   stellarity = 0.98   chisq2 = 0.49   ODDS = 0.98   z_cluster = 0.390