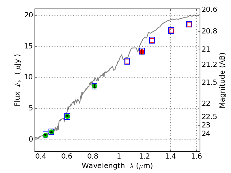
PLCKG287+32 IR detection object #3313

Color images and BPZ results
Catalog: 3313.cat
Black segments are analyzed here.   Roll mouse over color images to view segments.
Best viewed in a wide browser window (1200 pixels or more).   Download SED & P(z) plots to view larger versions.
In P(z) plots: Yellow lines mark the cluster redshift z = 0.390,  

Object #3313   x,y = (2560, 1373)   RA, Dec = (11:50:51.120, -28:06:12.96) = (177.71300, -28.10360)   BPZ = 0.346 [0.262--0.396]   type = 3.30 (Ell5_A_0 - Ell4_A_0)   stellarity = 0.03   chisq2 = 0.00   ODDS = 0.86   z_cluster = 0.390