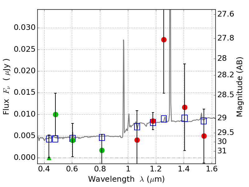
PLCKG287+32 IR detection object #2756

Color images and BPZ results
Catalog: 2756.cat
Black segments are analyzed here.   Roll mouse over color images to view segments.
Best viewed in a wide browser window (1200 pixels or more).   Download SED & P(z) plots to view larger versions.
In P(z) plots: Yellow lines mark the cluster redshift z = 0.390,  

Object #2756   x,y = (1918, 2008)   RA, Dec = (11:50:54.024, -28:05:34.80) = (177.72510, -28.09300)   BPZ = 1.598 [0.335--6.925]   type = 9.60 (SB3_B10 - SB2_B10)   stellarity = 0.46   chisq2 = 0.90   ODDS = 0.10   z_cluster = 0.390