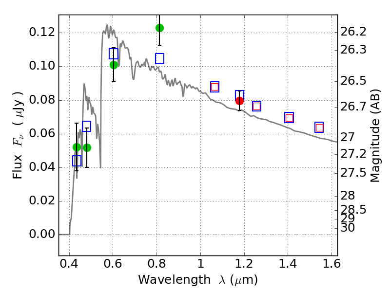
PLCKG287+32 IR detection object #2559

Color images and BPZ results
Catalog: 2559.cat
Black segments are analyzed here.   Roll mouse over color images to view segments.
Best viewed in a wide browser window (1200 pixels or more).   Download SED & P(z) plots to view larger versions.
In P(z) plots: Yellow lines mark the cluster redshift z = 0.390,  

Object #2559   x,y = (3884, 2090)   RA, Dec = (11:50:45.120, -28:05:30.12) = (177.68800, -28.09170)   BPZ = 3.478 [0.185--3.718]   type = 11.00 (SB11_A_0_l)   stellarity = 0.01   chisq2 = 1.81   ODDS = 0.75   z_cluster = 0.390