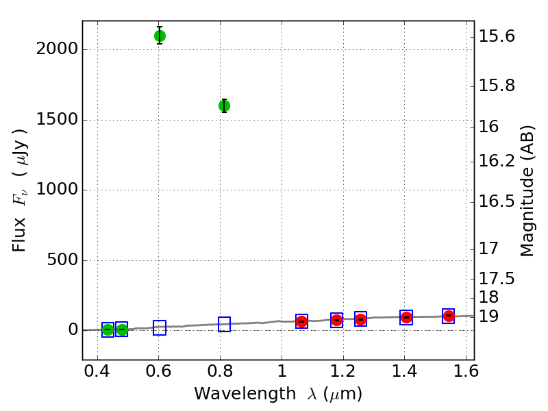
PLCKG287+32 IR detection object #2557

Color images and BPZ results
Catalog: 2557.cat
Black segments are analyzed here.   Roll mouse over color images to view segments.
Best viewed in a wide browser window (1200 pixels or more).   Download SED & P(z) plots to view larger versions.
In P(z) plots: Yellow lines mark the cluster redshift z = 0.390,  

Object #2557   x,y = (3485, 2302)   RA, Dec = (11:50:46.920, -28:05:17.52) = (177.69550, -28.08820)   BPZ = 0.315 [0.263--0.344]   type = 4.60 (ES0_B10 - Ell4_A_0)   stellarity = 0.03   chisq2 = 364.41   ODDS = 0.97   z_cluster = 0.390